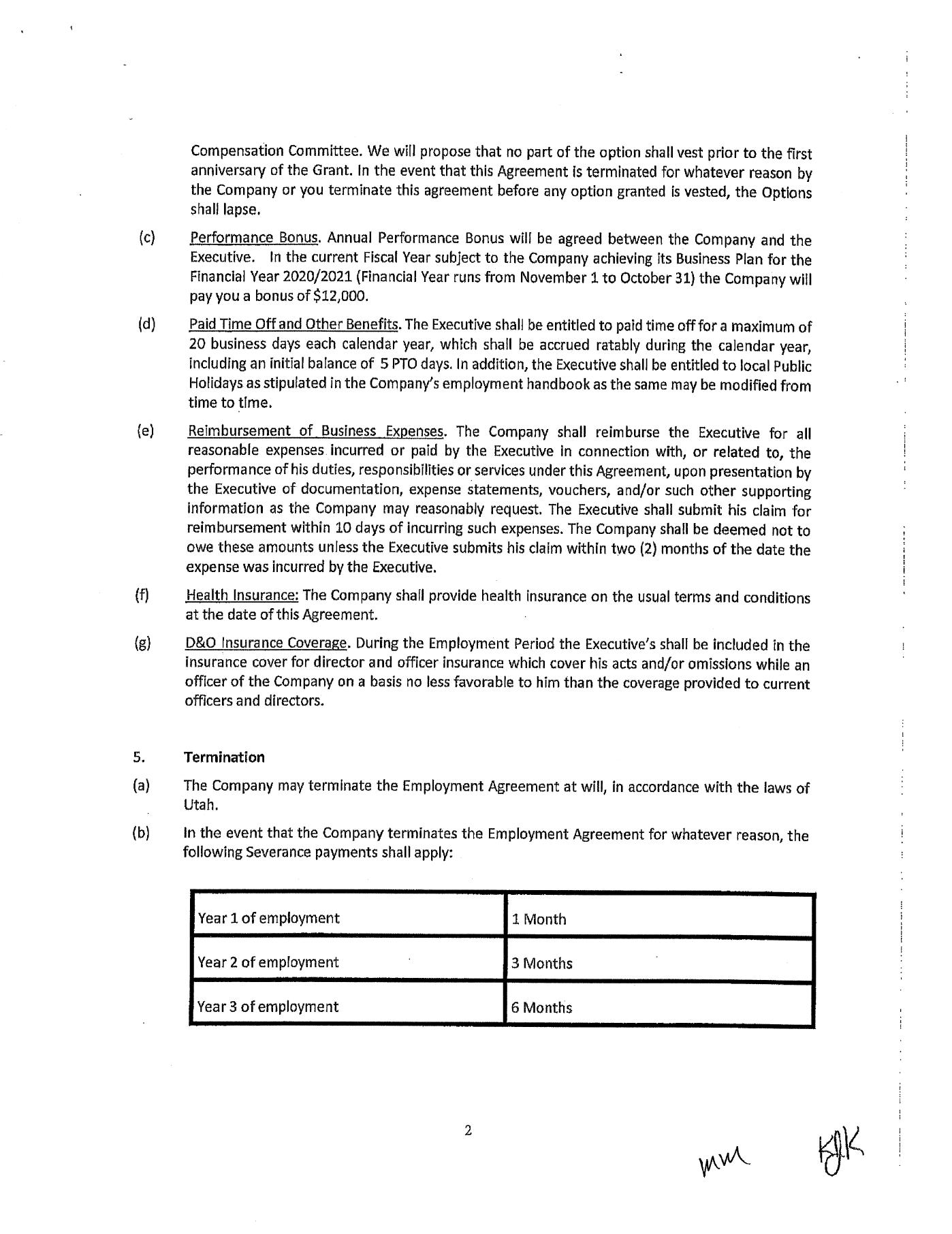
Exhibit 10.37